The Cosine Rule can be used in a triangle when you want to relate the three sides to one particular angle of the triangle. So, it is considered an essential property of triangles, especially if it’s a non-right angle triangle. The Cosine Rule formula is quite like that of the Pythagoras Theorem and hence it is easy to remember. In fact, it is a generalisation of the Pythagoras Theorem and we’ll soon find out how. This concept is greatly useful for solving the missing lengths or angles of a triangle.
What is the Cosine Rule?
The Cosine Rule states that the square of the length of any side of a triangle is the difference between the sum of squares of the other two sides’ length and twice the product of the other two sides’ lengths with the cosine of the angle between them. This is also known as the Law of Cosines.
Explanation of the Cosine Rule: To understand the above rule, we refer to the following
triangle ABC.
Here, in triangle ABC, the length of the corresponding sides are a, b and c. The ∠A is opposite the side of length a, ∠B opposite to that of length b, and ∠C to that of length c.
According to the Law of Cosines, the formula for Cosine Rule can be obtained as-

Hence, we see that the Cosine Rule is a generalised form of the Pythagorean theorem. With the above three equations, we can calculate the length of the sides or measure the angles between them. While finding the angles ∠A, ∠B, or ∠C, we can re-write the formulae as:
Proof of the Cosine Rule
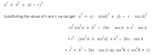
We will now prove the Cosine Rule for the side of length ‘a’ and the angle opposite to the side is given as ∠A.
Now, sin A = h/c h = c sin A [since the cosine of an angle is the ratio of the perpendicular and hypotenuse of a right-angled triangle.]
Similarly, cos A = r/c r = c . cos A
Using Pythagoras theorem, we have,

Hence, the Cosine Rule formula is proved. However, this is not the sole method of proving the Law of Cosine. The formula of the Cosine rule can also be derived by using either of the following:
- Distance Formula
- Ptolemy’s Theorem
- Geometry of Circles
- Pythagoras Theorem
- Sine Rule
- Vectors
Out of the above processes, the Pythagoras theorem and distance formula are the commonly used methods of proving the Cosine rule.
Now, let’s develop the concept with the help of solved examples.
Problems on Concise Rule

Importance of using the Cosine Rule
All mathematics students should understand the concepts of the Cosine Rule because of the following reasons:
- Using the Cosine Rule formula, you can find out the missing angle or the missing side of the triangle, provided you know the lengths of the other sides.
- The law of cosine enhances your understanding of trigonometric functions like- cosine, sine, tangent, cotangent, secant and cosecant.
- The Cosine Rule also helps in developing the concepts of vectors.
Conclusion
The Cosine Rule is a triangle property that relates all the three sides of a triangle with one of its angles. It is useful for finding the length of a side if the other sides’ length and the angle between them are known. Also, we can use the Cosine Rule formula to find the missing angle if the length of three sides of a triangle is provided. Here, we learnt how to express the law of cosines mathematically, strengthened our concepts with an example and understood its importance in mathematics.



